Skip to content

Abba Yahuah's Remembrancers & Keepers of the Covenant

  • Home
  • About Us
    • REMEMBRANCERS
    • The Day of the Insignificant
  • Who is Herbert W. Armstrong?
    • A Warm Friend of Israel
  • Jerusalem Foundation
    • 2015 Children’s Playground
    • 2016 Children’s Playground
    • 2018 Children’s Playground
    • 2019 Children’s Playground
  • Dr. Shimon Gibson
  • Mount Zion Dig
    • 2015 Mount Zion Dig
    • 2016 Mount Zion Dig
    • 2017 Mount Zion Dig
    • 2023 Mount Zion Dig
    • 2024 Mount Zion Dig
    • CHANE Dig Mount Zion
  • LIBRARY
    • THE FORMER RAIN
      • Books & Booklets
      • Youth Bible Lessons
      • Bible Correspondence Course
    • THE LATTER RAIN
    • THE RAIN
      • Books & Booklets
      • Articles
      • Sermons & Sermonettes
        • 2015
        • 2016
        • 2017
        • 2018
        • 2019
        • 2020
        • 2021
        • 2022
        • 2023
        • 2024
      • Sermon Notes
        • 2015
        • 2016
        • 2017
        • 2018
        • 2019
        • 2020
        • 2021
        • 2022
        • 2023
        • 2024
  • Videos
  • Music
  • Contact Us
  • OFFER A GIFT

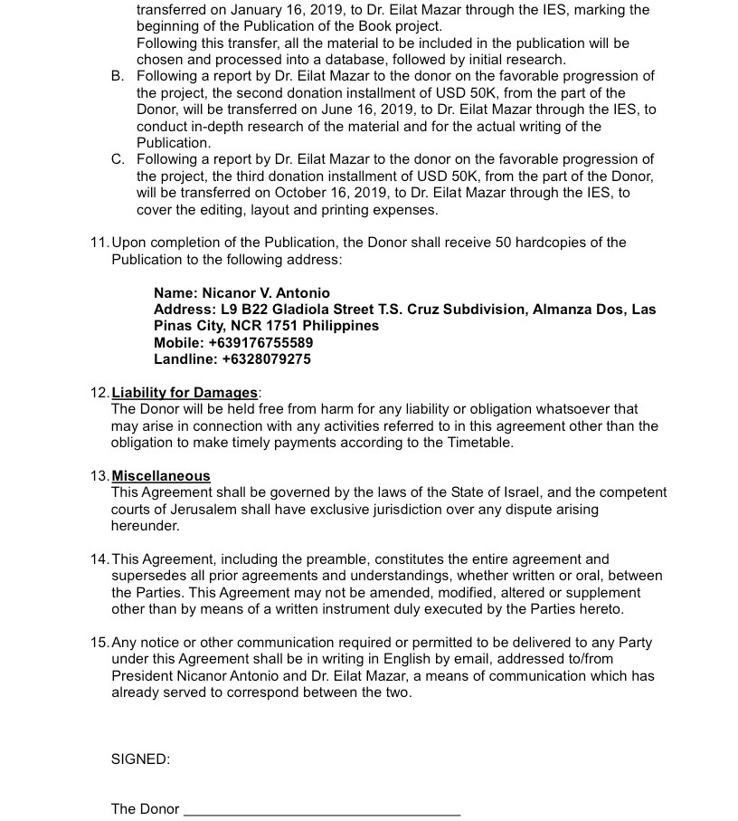
Donor Agreement Contract

DAC_1

DAC_2DAC_4DAC_3DAC_4

Donor Agreement Contract with Dr. Eilat Mazar – January 1, 2019

 

Share this:

  • Share
  • Share on Facebook (Opens in new window) Facebook
  • Share on X (Opens in new window) X
Like Loading...

Books and Booklets

This slideshow requires JavaScript.

Children’s Playground

This slideshow requires JavaScript.

CONTACT INFO

PHILIPPINES:
Unit 306 3/F Armal Plaza Building, C. Raymundo Ave., Maybunga Pasig City 1607 Philippines
aivgesmundo@gmail.com
+639195112447

HONG KONG:
G/F 6 Lo Uk Tsuen Pui o Lantau Island Hong Kong
guillarjoel@gmail.com
+85255879549

AUSTRALIA:
mariojarina63@gmail.com
+61414836716

KENYA:
P.O. Box 6646, 01000 Thika Kenya
mwegathoni@outlook.com
+254797033640

UNITED STATES:
1720 Tucson St. Bloomfield New Mexico 87413
pbjnana1957@gmail.com

Enter your email address to subscribe to this blog and receive notifications of new posts by email.

Join 50 other subscribers
Create a website or blog at WordPress.com
  • Subscribe Subscribed
    • Abba Yahuah's Remembrancers & Keepers of the Covenant
    • Join 50 other subscribers
    • Already have a WordPress.com account? Log in now.
    • Abba Yahuah's Remembrancers & Keepers of the Covenant
    • Subscribe Subscribed
    • Sign up
    • Log in
    • Copy shortlink
    • Report this content
    • View post in Reader
    • Manage subscriptions
    • Collapse this bar
 

Loading Comments...
 

    %d